医療機関向け製品

医療機関向け製品

患者さまの肌悩みに合わせた製品を取り揃えています。

低刺激性日やけ止めSPF40 PA+++

グラファ サンプロテクト UV

  • グラファ サンプロテクト UV
  • グラファ サンプロテクト UV

紫外線吸収剤を肌に直接触れさせない 「カプセル化紫外線吸収剤」を採用し、敏感な肌へのやさしさを追求した、低刺激性の日やけ止めです。

無香料 無着色 パラベンフリー

ノンコメドジェニックテスト済み

容量:25g
希望小売価格:1,980円(税込)
納品単位:10本/箱

※すべての方に肌トラブルが起こらない、ニキビのもと(コメド)ができないというわけではありません。

FEATURES

製品特長

  • 紫外線吸収剤を肌に直接触れさせない 「カプセル化紫外線吸収剤」を採用した、肌にやさしい低刺激性の日やけ止めです。
  • のびが良く白浮きもせず、まるで乳液のようにやさしい使用感なので、敏感な肌にも負担なく塗ることができます。
  • 独自保湿成分<PMキトサン>を配合し、日やけ止めでありながら、長時間肌の潤いをキープします。
  • 石けんで落ちるので、肌にやさしく落とすことができます。男性やお子さまにも最適です。

※すべての方に肌トラブルが起こらないというわけではありません。

HOW TO USE

使用方法

適量(顔の場合パール粒2~4粒大)を手に取り、ムラなくのばし、なじませてください。
また、ご使用いただいた上から化粧することもできます。

INGREDIENTS

配合成分

水、ミネラルオイル、BG、メトキシケイヒ酸エチルヘキシル、グリセリン、DPG、セタノール、ポリメタクリル酸メチル、ポリクオタニウム-51、ラウロイルグルタミン酸ジ(コレステリル/オクチルドデシル)、PPG-1トリデセス-6、PVP、シリカ、ジ(カプリル/カプリン酸)PG、スクレロチウムガム、ヒドロキシエチルセルロース、ポリクオタニウム-37、ミリストイルキチンPCA、BHT、EDTA-2Na、クロルフェネシン、フェノキシエタノール

続きを見る

EVIDENCE

データ

塗布時の白浮きの評価

  • サンプロテクト UV
    (カプセル化吸収剤)

  • A社
    (散乱剤)

  • B社
    (散乱剤)

  • C社
    (吸収剤)

紫外線散乱剤が配合されたA社、B社に比べ、カプセル化吸収剤が配合されたサンプロテクト UVは、のびがよく、白浮きが目立たないことがわかります。

PMキトサン配合日やけ止めによる
角層水分保持効果

ヒト皮膚塗布後の角層水分量の変化

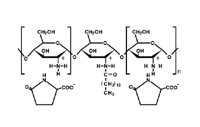
PMキトサンの化学構造

PMキトサンは天然高分子キトサンに親油性のミリスチン酸を部分結合させ、天然保湿成分ピロリドンカルボン酸塩を対イオンとする化学的特長を有するキトサン誘導体であり、このPMキトサンを配合したサンプロテクト UVを塗布することにより、角層水分量が増加することが確認されています。

RECOMMENDATION

このような患者さまに

  • レーザー治療後やケミカルピーリング後の紫外線防御が必要な患者さま
  • 日常生活やレジャー時に紫外線防御をしたい患者さま